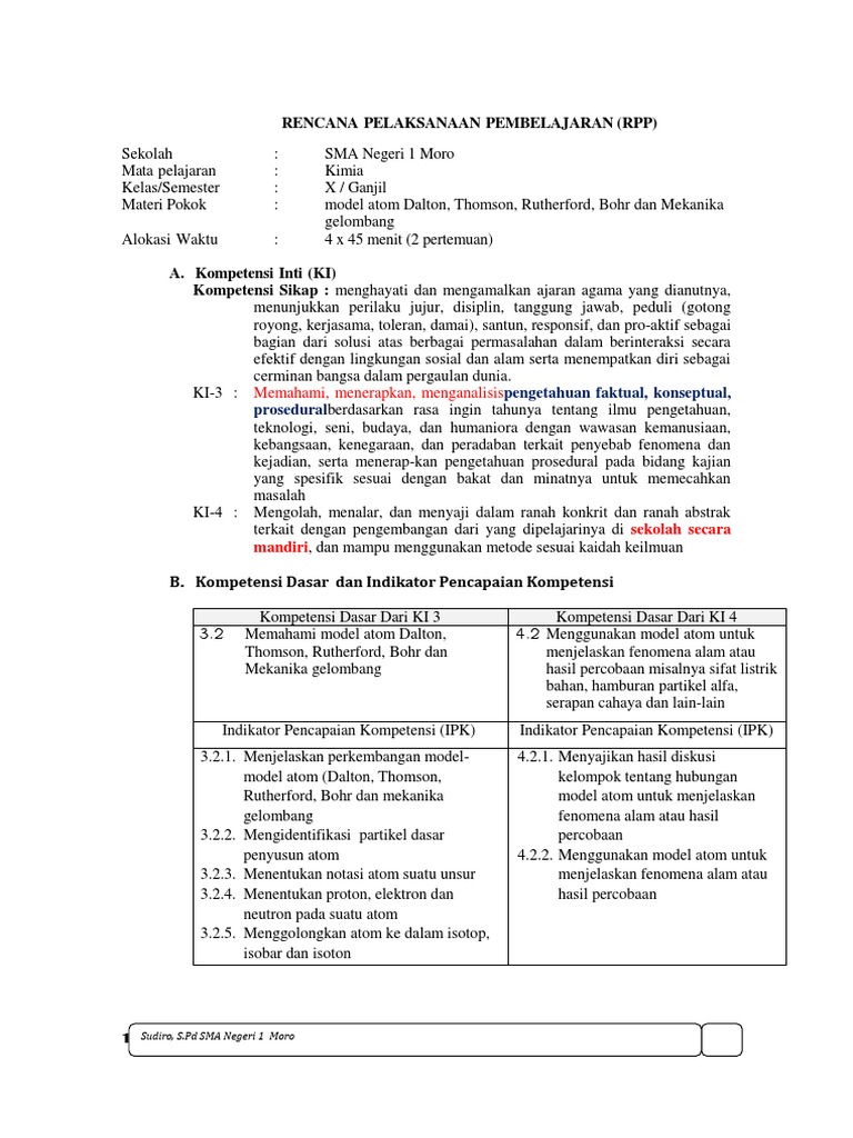
Model Atom Dalton Thomson Rutherford Bohr Dan Mekanika Gelombang
Minggu, 07 Juli 2019
model atom dalton thomson rutherford bohr dan mekanika gelombang,
model atom dalton thomson rutherford niels bohr dan mekanika gelombang
Edit
Berikut gambar-gambar mengenai Model Atom Dalton Thomson Rutherford Bohr Dan Mekanika Gelombang.
Inilah pembahasan selengkapnya mengenai model atom dalton thomson rutherford bohr dan mekanika gelombang. Admin blog Seputar Model 2019 juga mengumpulkan gambar-gambar lainnya terkait model atom dalton thomson rutherford bohr dan mekanika gelombang dibawah ini.
Demikianlah pembahasan yang dapat kami sampaikan mengenai model atom dalton thomson rutherford bohr dan mekanika gelombang. Terima kasih telah berkunjung ke blog Seputar Model 2019.












0 Response to "Model Atom Dalton Thomson Rutherford Bohr Dan Mekanika Gelombang"
Posting Komentar