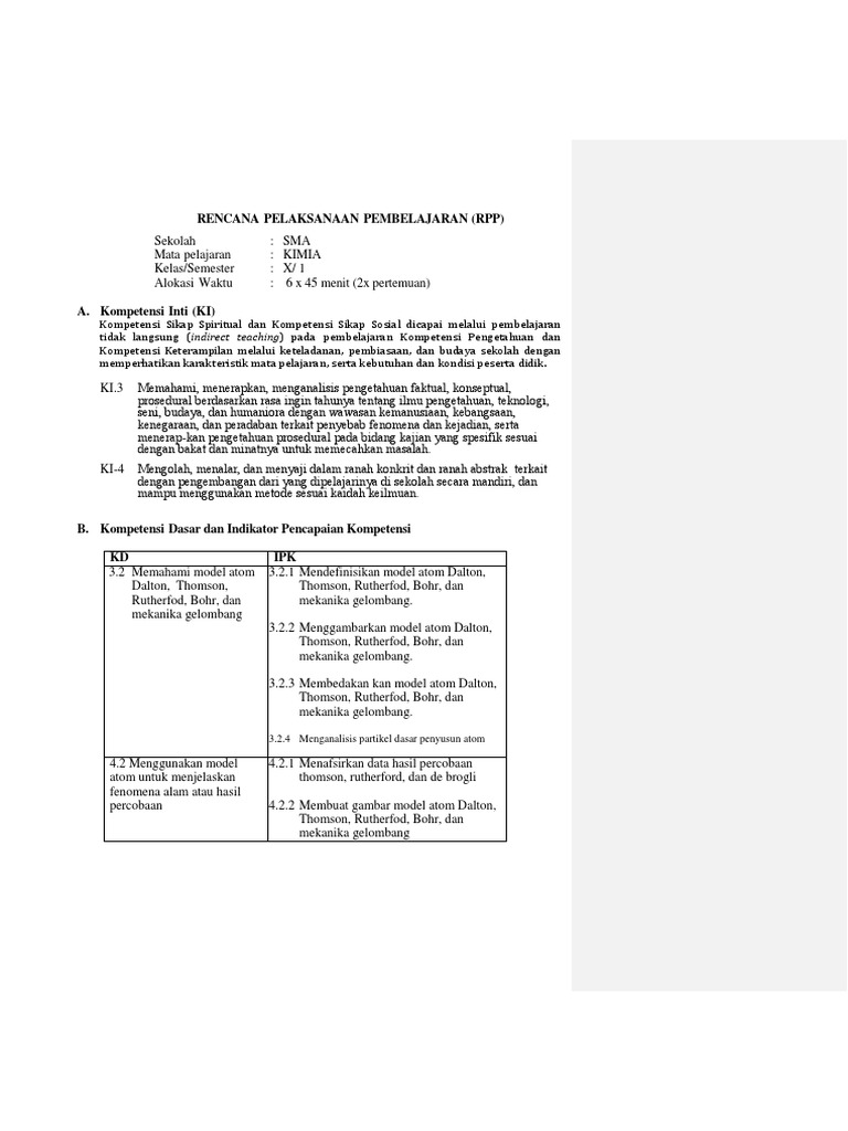
Gambar Model Atom Dalton Thomson Rutherford Niels Bohr Dan Mekanika Gelombang
Sabtu, 12 Oktober 2019
gambar model atom dalton thomson rutherford niels bohr dan mekanika gelombang
Edit
Berbagai data terkait Gambar Model Atom Dalton Thomson Rutherford Niels Bohr Dan Mekanika Gelombang.
Inilah pembahasan selengkapnya mengenai gambar model atom dalton thomson rutherford niels bohr dan mekanika gelombang. Admin blog Seputar Model 2019 juga mengumpulkan gambar-gambar lainnya terkait gambar model atom dalton thomson rutherford niels bohr dan mekanika gelombang dibawah ini.
Begitulah informasi yang bisa kami uraikan mengenai gambar model atom dalton thomson rutherford niels bohr dan mekanika gelombang. Terima kasih telah berkunjung ke blog Seputar Model 2019.











0 Response to "Gambar Model Atom Dalton Thomson Rutherford Niels Bohr Dan Mekanika Gelombang"
Posting Komentar